PNP and Other Device
Perkembangan teknologi elektronika yang pesat telah memberikan dampak signifikan terhadap berbagai aspek kehidupan manusia, mulai dari sistem komunikasi, otomasi industri, hingga peralatan rumah tangga. Di balik kemajuan tersebut, terdapat komponen-komponen dasar yang memainkan peran vital dalam pengoperasian sistem elektronik, salah satunya adalah perangkat semikonduktor.
Perangkat semikonduktor merupakan komponen yang dibuat dari bahan semikonduktor, seperti silikon atau germanium, yang memiliki kemampuan untuk menghantarkan arus listrik dalam kondisi tertentu. Di antara berbagai jenis perangkat semikonduktor, transistor menjadi salah satu komponen utama yang banyak digunakan dalam rangkaian analog maupun digital. Salah satu jenis transistor yang umum digunakan adalah transistor PNP.
Transistor PNP merupakan salah satu jenis bipolar junction transistor (BJT) yang digunakan untuk memperkuat arus atau berfungsi sebagai saklar. Meskipun penggunaannya sedikit lebih terbatas dibandingkan transistor NPN, transistor PNP tetap penting terutama dalam rangkaian yang memerlukan logika negatif atau kontrol arus dari tegangan tinggi ke rendah.
Selain transistor PNP, terdapat pula berbagai perangkat semikonduktor lainnya seperti dioda, transistor NPN, MOSFET, thyristor, dan LED yang memiliki fungsi masing-masing dalam suatu sistem elektronik. Pemahaman tentang karakteristik, cara kerja, dan penerapan dari perangkat-perangkat tersebut sangat penting bagi siapa pun yang terlibat dalam bidang elektronika dan teknik listrik.
Melalui pembahasan ini, diharapkan pembaca dapat memperoleh pemahaman mendasar mengenai prinsip kerja transistor PNP dan perangkat semikonduktor lainnya, serta mampu mengaplikasikannya dalam perancangan dan analisis rangkaian elektronik secara tepat.
- Memahami prinsip kerja rangkaian pengisi baterai dengan kontrol SCR.
- Mempelajari proses penyearahan tegangan AC menjadi DC untuk pengisian baterai.
- Mengamati kinerja SCR dalam memutus dan menghubungkan arus pengisian secara otomatis.
- Melakukan simulasi rangkaian menggunakan Proteus untuk mengevaluasi fungsi dan respon rangkaian terhadap perubahan tegangan baterai.
1. Baterai
baterai merupakan sebuah komponen yang mengubah energi kimia yang tersimpan menjadi energi listrik. pada percobaan kali ini, baterai berfungsi sebagai sumber daya utama.
spesifikasi dan pinout baterai
- input voltage AC 100-240V / DC 10-30V
- output voltage DC 1-35V
- Max. Input Current dc 14A
- Charging current 0.1-10A
- Discharging current 0.1-10A
- balance current 1.5A/cell max
-Max. Discharging power 15W
- Max Charging power AC 100W/ DC 250W
-jenis baterai yang mendukung: life, lilon, lipo 1-6s, pb 1-12s, nimh, cd 1-16s
-ukuran 126*115*49 mm
-berat 460kg
2. Power Supply
berfungsi sebagai sumber daya bagi sensor ataupun rangkaian. spesifikasi:
input voltage 5-12V
output voltage 5V
output current MAX 3A
output power 15W
conversio efficiency: 96%
B. Bahan
1. resistor
resistor adalah komponen elektronika pasif yang memiliki nilai resistansi atau hambatan tertentu yang berfungsi membatasi dan mengatur arus listrik dalam suatu rangkaian elektronika.
2. Dioda

Untuk menghantarkan arus listrik ke satu arah tetapi menghambat arus listrik dari arah sebaliknya. Oleh karena itu, Dioda sering dipergunakan sebagai penyearah dalam Rangkaian Elektronika. Dioda pada umumnya mempunyai 2 Elektroda (terminal) yaitu Anoda (+) dan Katoda (-) dan memiliki prinsip kerja yang berdasarkan teknologi pertemuan p-n semikonduktor yaitu dapat mengalirkan arus dari sisi tipe-p (Anoda) menuju ke sisi tipe-n (Katoda) tetapi tidak dapat mengalirkan arus ke arah sebaliknya.
SCR adalah kepanjangan dari Silicon Controlled Rectifier, yang berarti sebuah bagian atau aplikasi SCR pada rangkaian elektronika, yang bersifat semikonduktor. Selain itu, SCR sering disamakan dengan dioda. Tetapi sebenarnya memiliki perbedaan, baik secara karakteristik dan lainnya. Persamaannya, baik SCR maupun dioda, bekerja mengalirkan arus listrik yaitu dari anoda menuju katoda. Tampilan keduanya pun hampir mirip.
Bedanya dengan dioda biasa 2 terminal adalah rangkaian SCR justru memiliki 3 kaki terminal. Terdiri dari terminal anoda, katoda dan gate. Kemampuan lain dioda SCR adalah mengendalikan daya atau tegangan.
7. Lampu
1. Transistor PNP
Transistor merupakan salah satu komponen semikonduktor aktif yang berfungsi sebagai penguat, saklar, atau pengendali sinyal elektronik. Transistor dibagi menjadi dua jenis utama, yaitu transistor bipolar junction transistor (BJT) dan field effect transistor (FET). Salah satu tipe BJT adalah transistor PNP.
Transistor PNP terdiri dari dua lapisan semikonduktor tipe-P yang mengapit lapisan semikonduktor tipe-N. Ketika tegangan basis lebih rendah dari tegangan emitor, arus akan mengalir dari emitor ke kolektor. Dalam konfigurasi ini, arus listrik dibawa oleh hole (muatan positif). PNP transistor bekerja secara aktif ketika basis diberi tegangan negatif relatif terhadap emitor.
Karakteristik umum transistor PNP:
-
Arus mengalir dari emitor ke kolektor
-
Arus basis masuk ke transistor
-
Menguatkan arus, tegangan, atau daya tergantung konfigurasi rangkaian
Rumus dasar untuk arus pada BJT:
di mana:
-
adalah arus emitor
-
adalah arus basis
-
adalah arus kolektor
2. Perangkat Semikonduktor Lainnya (Other Devices)
Selain transistor PNP, terdapat berbagai perangkat semikonduktor lainnya yang berperan penting dalam sistem elektronik:
a. Transistor NPN
Kebalikan dari PNP, transistor NPN terdiri dari dua lapisan tipe-N yang mengapit lapisan tipe-P. Arus mengalir dari kolektor ke emitor, dan bekerja ketika basis diberi tegangan positif relatif terhadap emitor. Umumnya digunakan lebih luas karena mobilitas elektron lebih tinggi dibanding hole.
b. Dioda
Dioda adalah perangkat semikonduktor dua terminal yang hanya mengalirkan arus dalam satu arah (forward bias). Digunakan dalam penyearah arus, proteksi tegangan, dan deteksi sinyal.
c. MOSFET (Metal-Oxide Semiconductor Field Effect Transistor)
MOSFET adalah jenis transistor yang mengendalikan arus melalui tegangan gerbang (gate). Terdapat dua jenis: N-channel dan P-channel. MOSFET sering digunakan dalam rangkaian logika digital, penguat daya, dan switching.
d. Thyristor (SCR)
Thyristor adalah perangkat semikonduktor yang digunakan untuk mengontrol arus besar. Umumnya dipakai dalam pengendalian daya AC seperti dimmer lampu, pengatur kecepatan motor, dan konversi daya.
e. LED (Light Emitting Diode)
LED adalah jenis dioda yang memancarkan cahaya saat diberi arus maju. Digunakan sebagai indikator, penerangan, dan tampilan visual.
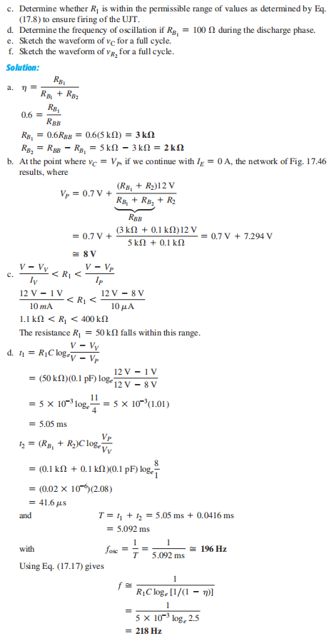
EXAMPLE
PROBLEM
Problem 1
CONTOH SOAL
Download Rangkaian Fig 17.14 (disini)
- Download Datasheet
































Komentar
Posting Komentar